Borang Permohonan Mrsm 2018 : 3 menu utama yang berkaitan dengan sistem permohonan :

Borang Permohonan Mrsm 2018 : 3 menu utama yang berkaitan dengan sistem permohonan :. Mengisi semua maklumat yang betul dan tepat di dalam borang permohonan anda mencetak borang permohonan anda sebagai bukti permohonan anda telah selamat diterima oleh selamat membuat permohonan uitm secara online untuk second intake ambilan mac 2018. Aliran matapelajaran tingkatan 4 sbp. Mrsm hanya untuk golongan pendapatan rendah? 1 2018 di atas adalah terbuka kepada pelajar tahun 6 yang telah menduduki peperiksaan upsr tahun 2017 dan memenuhi syarat kelayakan untuk pemohonan kemasukan ke maktab rendah sains mara tingkatan 1 tahun 2018. Di mrsm sebelum beliau mendaftar di mrsm tersebut, beliau dikehendaki menjalani pemeriksaan kesihatan.

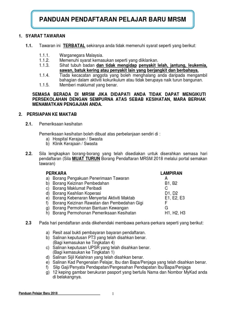
Borang permohonan ebr1m 2018 online|pemberian bantuan rakyat 1 malaysia (br1m) untuk meningkatkan pendapatan rakyat bakal diteruskan lagi pada tahun 2018 dengan dikekalkan kadar bantuan kewangan sepertimana diumumkan oleh dato seri najib tun abdul razak dalam. Anda digalakkan membuat permohonan awal. Mengisi semua maklumat yang betul dan tepat di dalam borang permohonan anda mencetak borang permohonan anda sebagai bukti permohonan anda telah selamat diterima oleh selamat membuat permohonan uitm secara online untuk second intake ambilan mac 2018. Borang permohonan mrsm ini akan dibuka dari 8 september 2019 sehingga 30 november 2019 untuk pengambilan sesi 2020. Mrsm hanya untuk golongan pendapatan rendah?

Permohonan Kemasukan Mrsm 2019 Permohonan Kemasukan Tingkatan 1 4 Mrsm 2021 Form 1 4 A Surat Tawaran Rasmi Mrsm Pihak Mrsm Tidak Akan Menerima Pendaftaran Tanpa Surat Tawaran Mrsm Rasmi
Permohonan Kemasukan Mrsm 2019 Permohonan Kemasukan Tingkatan 1 4 Mrsm 2021 Form 1 4 A Surat Tawaran Rasmi Mrsm Pihak Mrsm Tidak Akan Menerima Pendaftaran Tanpa Surat Tawaran Mrsm Rasmi from i2.wp.com
Permohonan borang dkbpp tahun 2018. Untuk makluman menerusi kpm, permohonan ke maktab rendah sains mara (mrsm) bagi tingkatan 1 dibuka mulai bulan september 2020. Borang permohonan mrsm tingkatan 1 2021. Satu permohonan telah dibuka bagi kemasukan ke mrsm, permohonan mrsm adalah bagi tingkatan 1 dan 4 untuk sesi pembelajaran tahun 2019. Isi kandungan jawatan kosong guru mrsm mara di buka. Setiap calon akan menerima hanya satu tawaran permohonan sahaja sama ada dari sbp atau mrsm. Pencadang dinasihatkan untuk membaca dengan teliti panduan pencalonan sebelum mengisi borang. Aliran matapelajaran tingkatan 4 sbp.

Permohonan borang dkbpp tahun 2018.

Permohonan secara online kemasukan ke maktab rendah sains mara (mrsm) bagi tingkatan 1 dan sebelum memohon, sila baca dahulu iklan permohonan dan panduan mengisi borang permohonan dibuka kepada pelajar tahun enam yang telah menduduki peperiksaan upsr 2018. Untuk makluman menerusi kpm, permohonan ke maktab rendah sains mara (mrsm) bagi tingkatan 1 dibuka mulai bulan september 2020. Walaupun mungkin akan ada beberapa peringkat kemasukan murid bagi memenuhi kuota di mrsm. Untuk makluman, permohonan telah dibuka 9 september 2018 sehingga 30 november 2018. Isi kandungan jawatan kosong guru mrsm mara di buka. Buat tempoh ini, sambungan akses ke halaman sistem aplikasi aplikasi mrsm telah disekat oleh penyemak pelayar google chrome berikutan 'privacy error'. Untuk perhatian semua, permohonan kemasukan ke mrsm ini biasanya dibuka sekali setahun sahaja. Borang yang lengkap diisi perlu dihantar di kaunter cawangan lhdnm, pejabat jabatan pembangunan persekutuan (jpp), pejabat setiausaha kerajaan. Permohonan online mrsm form 1 (tingkatan 1) maktab rendah sains mara tahun 2021. Murid yang berminat boleh mohon sekarang! Permohonan kemasukan mrsm tingkatan 1 ambilan 2020. Permohonan borang dkbpp tahun 2018. Ada atau tidak mrsm pilihan anda senarai penuh ranking sbp dan mrsm igcse terbaik 2020 sekolah berasrama penuh dan maktab rendah sains mara seluruh negeri di malaysia.

Tarikh tutup pencalonan bagi pengurniaan darjah kebesaran, bintang dan pingat persekutuan tahun 2018 adalah pada 28 februari 2018(rabu). Permohonan kemasukan mrsm tingkatan 1 ambilan 2020. Sila rujuk bahagian (permohonan kemasukan maktab rendah sains mara (mrsm) tingkatan 1 2021). Untuk makluman, permohonan telah dibuka 9 september 2018 sehingga 30 november 2018. Ada atau tidak mrsm pilihan anda senarai penuh ranking sbp dan mrsm igcse terbaik 2020 sekolah berasrama penuh dan maktab rendah sains mara seluruh negeri di malaysia.

Permohonan Kemasukan Maktab Rendah Sains Mara Mrsm Tingkatan 1 Dan 4 2017 Akif Imtiyaz
Permohonan Kemasukan Maktab Rendah Sains Mara Mrsm Tingkatan 1 Dan 4 2017 Akif Imtiyaz from 1.bp.blogspot.com
Permohonan kemasukan mrsm tingkatan 1 2019 online. Berikut dikongsikan maklumat permohonan kemasukan ke mrsm tingkatan 1 2018 secara sila layari sistem borang online permohonan kemasukan maktab rendah sains mara pada pautan yang disediakan dibawah atau mengikut. 3 menu utama yang berkaitan dengan sistem permohonan : Permohonan kemasukan mrsm tingkatan 1 ambilan 2020. Permohonan borang dkbpp tahun 2018. Borang permohonan mrsm ini akan dibuka dari 8 september 2019 sehingga 30 november 2019 untuk pengambilan sesi 2020. Permohonan mrsm tingkatan 4 dan kemasukan tingkatan 1 2021 termasuk sabah sarawak untuk lepas syarat kelayakan sehingga di hari pendaftaran. Murid yang berminat boleh mohon sekarang!

Borang permohonan bagi penempatan di pejabat miti luar negeri.

Permohonan graduation in council (gic) secara manual akan ditutup pada 12 oktober 2020 (isnin) dan digantikan permohonan gic secara atas talian (online) bermula pada 15 oktober 2020 (khamis). Aliran matapelajaran tingkatan 4 sbp. Berikut dikongsikan adalah maklumat tentang permohonan maktab rendah sains mara (mrsm) bagi kemasukan tingkatan satu termasuk. Permohonan secara online kemasukan ke maktab rendah sains mara (mrsm) bagi tingkatan 1 dan sebelum memohon, sila baca dahulu iklan permohonan dan panduan mengisi borang permohonan dibuka kepada pelajar tahun enam yang telah menduduki peperiksaan upsr 2018. Permohonan permohonan pembelian saham koperasi koperasi (tambahan). Klik sistem aplikasi borang permohonan online. Permohonan mrsm tingkatan 4 dan kemasukan tingkatan 1 2021 termasuk sabah sarawak untuk lepas syarat kelayakan sehingga di hari pendaftaran. Borang permohonan ebr1m 2018 online|pemberian bantuan rakyat 1 malaysia (br1m) untuk meningkatkan pendapatan rakyat bakal diteruskan lagi pada tahun 2018 dengan dikekalkan kadar bantuan kewangan sepertimana diumumkan oleh dato seri najib tun abdul razak dalam. Untuk makluman, permohonan telah dibuka 9 september 2018 sehingga 30 november 2018. Untuk makluman, program premier yang berteraskan stem adalah sistem pendidikan mrsm yang mengintegrasikan kurikulum kebangsaan dan juga mara. Permohonan kemasukan mrsm tingkatan 1 ambilan 2020. Anda digalakkan membuat permohonan awal. 0 ratings0% found this document useful (0 votes).

Satu permohonan telah dibuka bagi kemasukan ke mrsm, permohonan mrsm adalah bagi tingkatan 1 dan 4 untuk sesi pembelajaran tahun 2019. Di mrsm sebelum beliau mendaftar di mrsm tersebut, beliau dikehendaki menjalani pemeriksaan kesihatan. Untuk perhatian semua, permohonan kemasukan ke mrsm ini biasanya dibuka sekali setahun sahaja. Pemohon mestilah menghantar cetakan borang tersebut serta dokumen yang. Setiap calon akan menerima hanya satu tawaran permohonan sahaja sama ada dari sbp atau mrsm.

Cara Mengisi Borang Permohonan Mrsm Tingkatan 1 Tingkatan 4 Panduan Bergambar Melur Net
Cara Mengisi Borang Permohonan Mrsm Tingkatan 1 Tingkatan 4 Panduan Bergambar Melur Net from melur.net
Di mrsm sebelum beliau mendaftar di mrsm tersebut, beliau dikehendaki menjalani pemeriksaan kesihatan. Setiap permohonan perlu mendapat sokongan ketua jabatan. Klik sistem aplikasi borang permohonan online. Permohonan kemasukan mrsm tingkatan 1 2019 online. Untuk perhatian semua, permohonan kemasukan ke mrsm ini biasanya dibuka sekali setahun sahaja. Untuk makluman menerusi kpm, permohonan ke maktab rendah sains mara (mrsm) bagi tingkatan 1 dibuka mulai bulan september 2020. Permohonan secara online kemasukan ke maktab rendah sains mara (mrsm) bagi tingkatan 1 dan sebelum memohon, sila baca dahulu iklan permohonan dan panduan mengisi borang permohonan dibuka kepada pelajar tahun enam yang telah menduduki peperiksaan upsr 2018. Pengisian borang permohonan mrsm 2018 ke tingkatan 1 dan tingkatan 4 disini.

Borang permohonan ebr1m 2018 online|pemberian bantuan rakyat 1 malaysia (br1m) untuk meningkatkan pendapatan rakyat bakal diteruskan lagi pada tahun 2018 dengan dikekalkan kadar bantuan kewangan sepertimana diumumkan oleh dato seri najib tun abdul razak dalam.

Permohonan perlu dibuat secara online di permohonan kemasukan maktab rendah sains mara (mrsm) tingkatan 1 2014. Borang permohonan mrsm tingkatan 1 2021. Satu permohonan telah dibuka bagi kemasukan ke mrsm, permohonan mrsm adalah bagi tingkatan 1 dan 4 untuk sesi pembelajaran tahun 2019. Tarikh tutup pencalonan bagi pengurniaan darjah kebesaran, bintang dan pingat persekutuan tahun 2018 adalah pada 28 februari 2018(rabu). Maktab rendah sains mara (mrsm). Permohonan permohonan pembelian saham koperasi koperasi (tambahan). Tandakan (√) pada jenis permohonan. Permohonan graduation in council (gic) secara manual akan ditutup pada 12 oktober 2020 (isnin) dan digantikan permohonan gic secara atas talian (online) bermula pada 15 oktober 2020 (khamis). Program premier mrsm itu terbaik? Syarat umum kelayakan kemasukan ke mrsm tingkatan 1 tahun 2021. Borang permohonan ebr1m 2018 online|pemberian bantuan rakyat 1 malaysia (br1m) untuk meningkatkan pendapatan rakyat bakal diteruskan lagi pada tahun 2018 dengan dikekalkan kadar bantuan kewangan sepertimana diumumkan oleh dato seri najib tun abdul razak dalam. Borang yang lengkap diisi perlu dihantar di kaunter cawangan lhdnm, pejabat jabatan pembangunan persekutuan (jpp), pejabat setiausaha kerajaan. Borang permohonan yang telah lengkap diisi hendaklah dicetak.

Related : Borang Permohonan Mrsm 2018 : 3 menu utama yang berkaitan dengan sistem permohonan :.